Coșmarul unui clujean care cere Primăriei o parcare: ”Dau dovadă de incompetență, indolență, obrăznicie, mă iau la bășcălie”
Un clujean cere un loc de parcare de ani de zile de la Primăria Cluj-Napoca, acuză funcționarii de ”incompetență, indolență, obrăznicie, mă iau la bășcălie, încalcă legea informațiilor publice, etc”.
Primăria lui Emil Boc promite din 2020 realizarea unui parking cu 200 de locuri pe strada Gheorghe Dima, adică aproape de locul unde clujeanul se chinuie să primească un loc de parcare. Ei bine, au trecut 3 ani de la aceste promisiuni, dar municipalitatea toarnă numai ”betoane” din fonduri europene, în parcurile din oraș. Parkingurile trebuie să fie realizate din fonduri locale, iar, cel mai probabil, Primăria nu dispune de fonduri, dar acest lucru va face obiectul altui material.
”Locuiesc în Cluj și nu dețin un loc de parcare, ca mulți alții. Nimic deosebit. Întreb însă prieteni, colegi, rude sau vecini care au loc de parcare. Cum l-au obținut, cât a durat, cum de îl au și pe al doilea? Invariabil, de fiecare dată, fără excepție, răspunsul este o întrebare: ”Nu cunoști pe nimeni la primărie?” Cu alte cuvinte, ar trebui să cunosc pe cineva, să plătesc mită sau să comit trafic de influență pentru un loc de parcare. Nu am făcut și nu voi face niciodată asta. Prin urmare, parchez autoturismul propriu pe unde pot, ca mulți alții și râmân cu amara impresie că primăria Cluj-Napoca este o instituție plină de corupție și incompetență.
Anul trecut poliția locală a început să pună notificări în geamul autoturismelor de pe str. Dima/Pasteur iar la a doua notificare primită de mine le-am scris și am cerut date suplimentare. Răspunsul a fost că au primit sesizări, fără să îmi transmită la ce s-au referit acestea. În mod verbal, agentul mi-a comunicat că trebuie să își facă treaba (adică să pună acele notificări în parbriz) dacă au sesizări și că știe că nu e ”moral” să primesc notificarea, întrucât primăria ar fi trebuit să îmi pună la dispoziție un loc de parcare, ceea ce nu a făcut. Verba volant...
Mai mult, iarna trecută, și datorită zăpezii, mi-am găsit autoturismul lovit pe str. Dima. Bineînțeles, costurile de reparare le-am suportat eu.
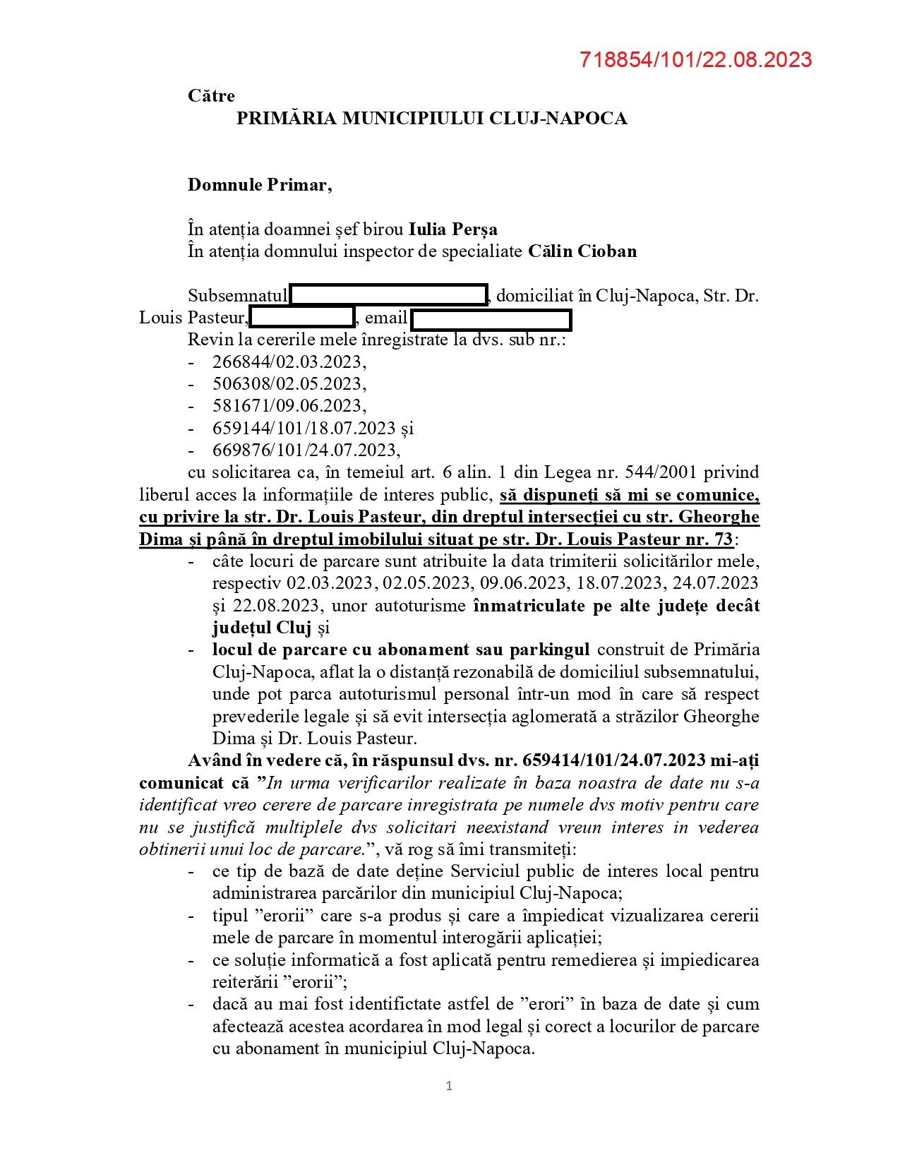
Așadar, ca un simplu cetățean, ce puteam să fac? Să solicit primăriei să îmi comunice, în conformitate cu legea, date privind parcările de pe strada mea, câte locuri sunt, câte sunt dublate, ce intenții au. Doresc ca aceste date să le folosesc pentru îmbunătățirea condițiilor de parcare, fie printr-un grup de inițiativă, fie solicitând consiliului local acțiuni specifice, fie în instanță.
În schimb, prin răspunsurile primăriei (și în 2 cazuri prin lipsa nelegală a răspunsului), funcționarii ei publici dau dovadă de incompetență, indolență, obrăznicie, mă iau la bășcălie, încalcă legea informațiilor publice, etc”, a relatat M.M..
Acesta a explicat pe larg și ce hârtii a depus pe adresa Primăriei Cluj-Napoca și ce răspunsuri a primit:
”Am scris o petiție în 2 martie, la care am primit răspunsul abia după ce am trimis și a doua petiție, în 2 mai. Bineînțeles, în spiritul de lehamite de la primărie, răspunsul la ambele mele petiții a fost identic, însă trimis de 2 ori, prin 2 emailuri separat;

bineînțeles, nu mi-au fost furnizate informațiile publice solicitate de mine întrucât ”nu se poate vorbi de o situație clară”;
am reiterat cererea mea în 9 iunie, precizând date calendaristice concrete, dar nu am primit răspuns;
am revenit cu o nouă cerere în 18 iulie, la care mi s-a răspuns parțial și care precizează că ”nu s-a identificat vreo cerere de parcare înregistrată pe numele dvs, motiv pentru care nu se justifica multiplele dvs solicitări, neexistând vreun interes in vederea obținerii unui loc de parcare”;

cu alte cuvinte, în mintea îngustă a funcționarilor publici ai primăriei solicitarea de informații publice o pot face numai dacă justific un interes în vederea obținerii unui loc de parcare, ceea ce în realitate chiar am și făcut, încă din 03 ianuarie;
printr-o nouă adresă, am comunicat Primăriei că aprecierea interesului meu nu poate fi făcută de funcționarii lor, ci numai de mine sau, eventual, de o instanță de judecată și am resolicitat informațiile publice pe care le să mi le comunice;
mai mult, m-am referit la ”eroarea” bazei de date, ceea ce, personal bănuiesc că este o indolență a funcționarilor publici de la parcări, care nu se mai deranjează să își verifice registrele, pardon, ”baza de date”;
prin răspunsul al primăriei, deși anterior am trimis încă cinci adrese, prima fiind încă din luna martie, se pune sub semnul întrebării însăși faptul că mi-aș menține solicitările: ”În condițiile în care vă mențineți solicitarea referitoare la situația numărului de abonați care dețin autoturisme înmatriculate în alte județe decât județul Cluj, vă informăm că aceasta necesită o perioada mai lungă de timp deoarece necesită o interogare complexă a bazei de date”;
așadar, în spiritul de incompetență și bășcălie a Primăriei, s-ar putea să nu mai mențin solicitarea, întrucât ”interogarea complexă a bazei de date” ar obosi în mod nepermis funcționarii de la parcări. Poate totuși renunț și îi las să se odihnească pe incompetenții plătiți regește de la parcări, sunt supraîncărcați să țină evidența uluitoare a câtorva mii de locuri de parcare pe tot municipiul;
astăzi, 22 august, am revenit cu solicitarea de noi date, doresc inclusiv să știu ce eroare a avut ”baza de date” și soluția de remediere”, a completat clujeanul.


33 Comentarii