REZULTATE Admitere 2025 UMF Cluj: Care au fost mediile cu care s-a intrat la Medicină Generală, Medicină Dentară și Farmacie. Vezi și grilele corecte
REZULTATE Admitere 2025 UMF Cluj: Concurență mare și medii ridicate la cele mai căutate programe
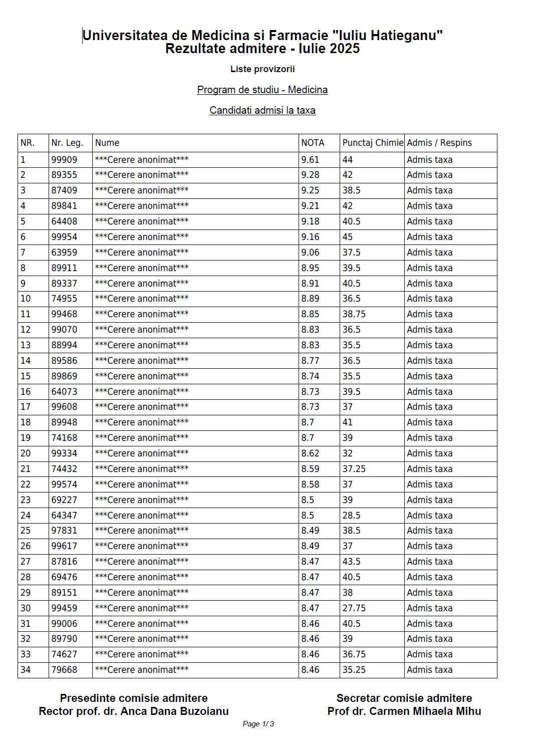
Universitatea de Medicină și Farmacie „Iuliu Hațieganu” Cluj-Napoca a publicat în această seară rezultatele oficiale ale concursului de admitere 2025, organizat în luna 13 iulie 2025.
Cele mai căutate specializări au fost Medicină, cu 851 de candidați înscriși pe 425 de locuri, urmată de Asistență Medicală Generală (386 candidați) și Radiologie și Imagistică (184 candidați, la doar 50 de locuri disponibile).
Grilele corecte de concurs au fost afișate după examen, iar candidații au avut termen pentru contestații. Nicio contestație nu a fost considerată întemeiată, prin urmare grilele au rămas neschimbate.
Vezi aici grilele corecte:
S-au publicat grilele corecte la admiterea UMF Cluj 2025 la Medicină, Medicină Dentară și Farmacie. Până când se depun contestațiile la grile - Ştiri de Cluj
Concurența s-a menținut ridicată, în special la Medicină și Radiologie, unde raportul candidați/loc a depășit 1,7 la unele programe.
Cele mai căutate programe la UMF Cluj 2025:
| Specializare | Locuri disponibile (buget + taxă) | Candidați înscriși |
|---|---|---|
| Medicină | 425 | 851 |
| Medicină Dentară | 100 | 177 |
| Radiologie și Imagistică | 50 | 184 |
| Tehnică Dentară | 50 | 175 |
| Asistență Medicală Generală | 200 | 386 |
| Asistență Medicală Generală (Baia Mare) | 60 | 119 |
Mediile cu care s-a intrat la admitere 2025 UMF Cluj
Rezultatele pe specializări:
Medicină
Prima medie: 9,91
Ultima medie la buget: 8,50
Ultima medie la taxă: 8,29
Medicină Dentară
Prima medie: 9,73
Ultima medie la buget: 7,72
Ultima medie la taxă: 7,66
Farmacie
Prima medie: 9,82
Ultima medie 5.01
Medicină Militară
Prima medie: 8,61
Ultima medie: 5,19
Asistență Medicală
Prima medie: 9,92
Ultima medie la buget: 9,05
Ultima medie la taxă: 8,55
Extensia Baia Mare
Prima medie: 9,48
Ultima medie la buget: 8,39
Ultima medie la taxă: 7,90
Balneo-Fizio-Kinetoterapie
Prima medie: 9,94
Ultima medie la buget: 9,30
Ultima medie la taxă: 8,94
Radiologie și Imagistică Medicală
Prima medie: 9,89
Ultima medie la buget: 9,45
Ultima medie la taxă: 9,25
Tehnică Dentară
Prima medie: 9,87
Ultima medie la buget: 9,33
Ultima medie la taxă: 9,20
Nutriție și Dietetică
Prima medie: 9,92
Ultima medie la buget: 9,15
Ultima medie la taxă: 8,84
Cosmetică Medicală
Prima medie: 9,95
Ultima medie la buget: 9,21
Ultima medie la taxă: 8,63












Liste Admiși Medicină Dentară



5 Comentarii