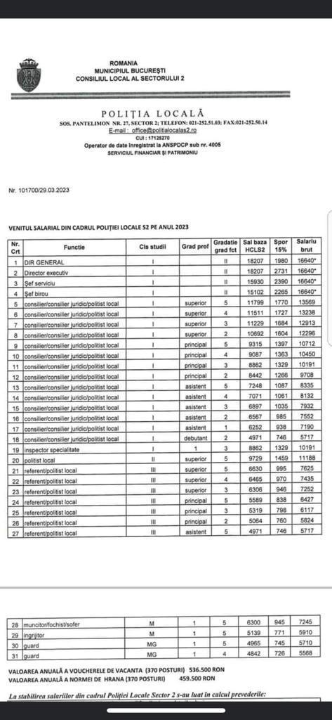
Salarii de lux în Poliția Locală! Șeful ”localilor” încasează 16.600 de lei brut, mai mult ca un șef din Poliția Română, cu muncă mult mai grea
Salariile polițiștilor locali din România au ajuns să fie mai mari ca ale polițiștilor naționali, cu câteva mii de lei chiar.
În mediul online au apărut salariile polițiștilor locali din București, Sectorul 2. Șeful agenților locali are un venit brut de 16.600 de lei, adică 9700 de lei în mână, la care se adaugă și norma de hrană de 54 de lei pe zi, adică încă minim 1100 de lei, în funcție de câte zile are lucrate.
Un șef de inspectorat din Poliția Română, după 25 de ani de muncă ajunge la 7300 de lei, plus 1100 de lei norma de hrană. Responsabilitățile sunt net superioare. Șeful polițiștilor locali se ocupă de amenzile la parcări, nereguli minore prin cartiere, fără a răspunde de infracțiuni, fapte violente și alte incidente grave, care se petrec într-un sector din București.
Lista salariilor de mai jos este acceași pentru toate polițiile locale din România, aflate în subordinea primarilor.

4 Comentarii