Va fi concurență mare la admitere la UMF Cluj și în 2025: Peste 1.000 de candidați au participat la simulare! Care au fost cele mai mari note
Se preconizează o concurență mare la UMF Cluj și în 2025. Peste 1.000 de candidați au participat la simularea examenului de admitere
Universitatea de Medicină și Farmacie „Iuliu Hațieganu” din Cluj-Napoca se pregătește din nou pentru un val mare de candidați la admiterea din iulie 2025, după ce peste 1.000 de tineri din întreaga țară au participat, în 17 mai, la Simularea concursului de admitere organizată de instituție.
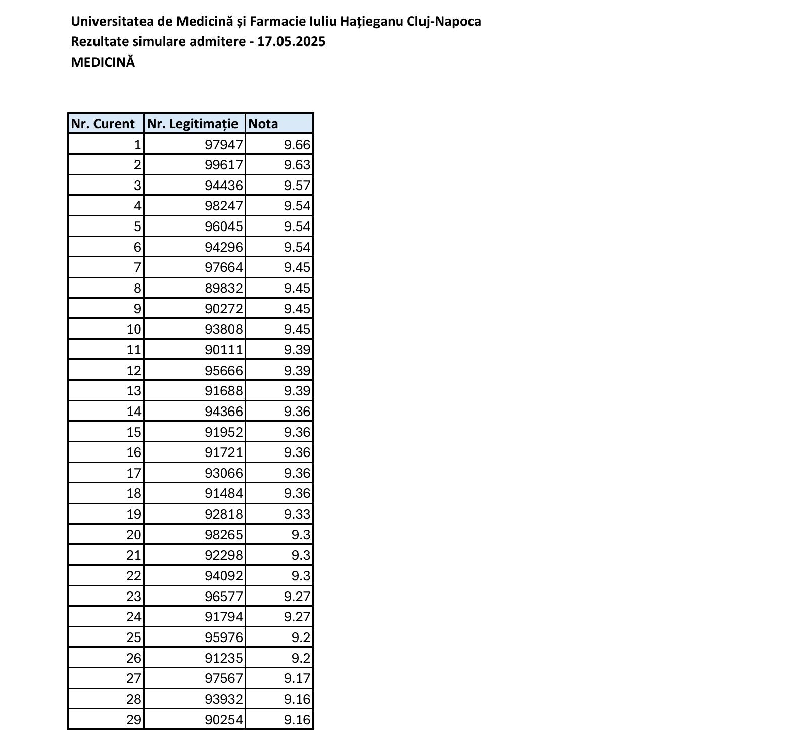
Ajunsă la cea de-a XVI-a ediție, simularea a reunit 1.052 de candidați, dintre care cei mai mulți au optat pentru programele de Medicină și Medicină dentară, cu 946, respectiv 100 de participanți. Examenul s-a desfășurat cu prezență fizică în 15 săli și amfiteatre ale universității, în condiții similare celor din ziua concursului real, pe bază de teste grilă cu întrebări și răspunsuri multiple.
Rezultatele simulării confirmă un nivel ridicat de pregătire al participanților. Cea mai mare notă obținută la Medicină Generală a fost 9.66, la Medicină Dentară s-a înregistrat o notă maximă de 9.73, iar la Farmacie, cea mai mare notă a fost 9.37. Aceste rezultate indică o competiție strânsă și un interes crescut pentru profesiile din domeniul sănătății.
„Ne bucurăm să vedem un interes tot mai mare din partea tinerilor care își doresc o carieră în domeniul medical. Simularea este un pas important pentru pregătirea lor și îi ajută să înțeleagă exigențele reale ale concursului de admitere”, a declarat prof. dr. Anca Dana Buzoianu, rectorul UMF Cluj.
Această simulare a fost parte dintr-o serie mai largă de activități pregătitoare oferite de universitate în ultimele luni. În martie, peste 650 de elevi au participat la presimularea concursului, organizată atât la Cluj-Napoca, cât și la Baia Mare. În plus, în lunile aprilie și mai, UMF Cluj a derulat cursuri de pregătire susținute de cadre didactice ale universității, la care candidații au avut acces inclusiv la materiale didactice disponibile online până la data simulării.
Interesul ridicat pentru simulare și notele obținute confirmă faptul că și anul acesta concurența la admitere va fi acerbă, UMF Cluj menținându-și statutul de instituție de referință în formarea viitorilor profesioniști din domeniul sănătății.
Admiterea propriu-zisă la UMF „Iuliu Hațieganu” Cluj-Napoca va avea loc în data de 13 iulie 2025, iar înscrierile vor fi deschise între 23 iunie și 10 iulie 2025.



0 Comentarii