Un bărbat a sunat la 112, fără a avea o urgență, de 31.000 de ori într-un singur an. Câți oameni au sunat, nejustificat, la serviciul de urgențe din Cluj
Un bărbat a atins un record absurd. A reușit să apeleze serviciul 112, fără a avea o urgenţă, de aproape 31.000 de ori în decursul unui singur an.
Potrivit Serviciului de Telecomunicaţii Speciale (STS) bărbatul din Argeș a utilizat mai multe numere de telefon. Apelurile au presupus un timp de procesare de peste 500.000 de secunde, adică aproape 5 zile de convorbiri continue.
De 20 de ani 112 este numărul unic pentru urgențe din România, timp în care au fost preluate peste 300 de milioane de apeluri de către operatorii STS.
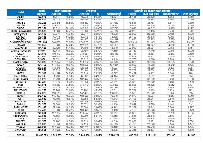
În anul 2023, operatorii STS ai Serviciului de urgență 112 au preluat 10.489.979 de apeluri, din care 53,82% au reprezentat urgențe. Diferența de 46,18% au fost apeluri care nu au necesitat intervenția agențiilor: Ambulanță, Poliție, ISU-SMURD, Jandarmerie sau Salvamont.
Un grad ridicat de utilizare corectă a serviciului de urgență, raportat la totalul apelurilor preluate la 112, se înregistrează în regiunea București-Ilfov.
Județul Gorj înregistrează cel mai ridicat procent de apeluri care nu reprezintă o urgență, 66,79% din totalul apelurilor primite, fiind urmat de județul Covasna, cu 63,40% și de județul Argeș, cu 59,50%.
Clujul, s-a numărat, în 2023, printre județele cu cele mai multe apeluri 112. În total, în anul care a trecut, în județul nostru au fost înregistrate 401.073 apeluri spre serviciul de urgențe. Dintre acestea 240.961, adică 60.08% din cazuri au fost urgențe iar 160.112 sau 39.92% din cazuri non-urgențe.
Din numărul total de apeluri din Cluj, 168.183 au fost transferate spre Ambulanță, 68.748 spre Poliție, 48.167 la ISU-SMURD, 12.543 spre Jandarmerie și 2.580 alte agenții.

0 Comentarii