Trenurile de pe ruta Cluj-Oradea, înlocuite cu autobuze, de luni. Vezi programul
Circulația trenurilor pe ruta Cluj-Oradea va fi oprită pentru execuția lucrărilor de „Electrificare și reabilitare a liniei de cale ferată Cluj Napoca – Oradea – Episcopia Bihor” – Lot 2 Aghireș – Poieni.
Astfel, începând de luni, 8 ianuarie trenurile vor fi înlocuite cu autobuze, schimbare care va rămâne în vigoare cel puțin 2 ani, circulația feroviară fiind închisă între 8 ianuarie 2024 și 8 ianuarie 2026.
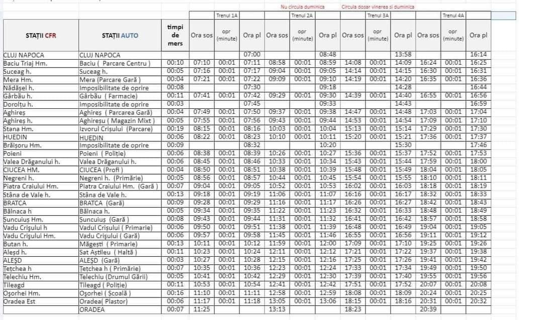
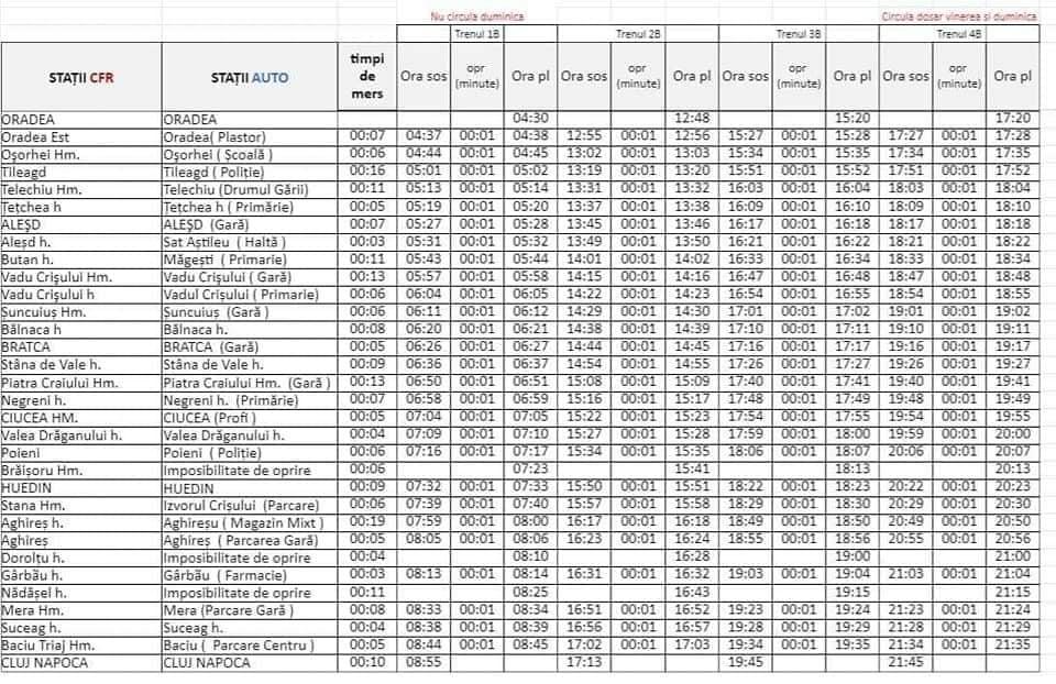
Autobuzele/autocarele de înlocuire a trenurilor de călători vor fi asigurate de operatorii de transport feroviar de călători (OTF) și vor circula conform orarului stabilit de aceștia, pe următoarele distanțe:
- Aghireș – Huedin – 8 autobuze, Huedin – Aghireș – 7 autobuze, care asigură continuitatea cu trenurile care circulă pe distanța Cluj Napoca – Aghireș și retur, cu transbordarea călătorilor în stația Aghireș;
- Aghireș – Stana – 2 autobuze (un autobuz pe sens), care asigură continuitatea cu trenurile care circulă pe distanța Cluj Napoca – Aghireș și retur, cu transbordarea călătorilor în stația Aghireș;
- Cluj Napoca – Huedin și retur – 2 autobuze (un autobuz pe sens);
- Cluj Napoca – Oradea și retur – 12 autobuze (6 autobuze pe sens).
,,Menționăm faptul că, autobuzele/autocarele de înlocuire vor avea număr de identificare identic cu numărul de tren, în cazul în care se asigură continuitatea serviciului de transport, iar în celelalte cazuri vor avea alt număr”, a transmis compania, potrivit HotNews.
"Mersul autocarelor care vor înlocui trenurile, pe ruta Cluj Napoca - Oradea, Oradea - Cluj-Napoca începând cu data 08.01.2024. Călătorii care vin de la Aghireș la Huedin o să oprească în fața Gării din Huedin.Cei care calatoresc dinspre Oradea spre Cluj-Napoca vor coborî în stația din centrul orașului, peste drum de Farmacia MP Plant, iar cei care vin dinspre Cluj-Napoca spre Huedin o să oprească în apropierea Liceului Teoretic "Octavian Goga" Huedin în spațiul dintre Biserica Ortodoxă și Policlinică. Momentan aceasta este situația urmând a se face alte precizări în cazul unor modificări cu privire la locațiile de coborâre și urcare a călătorilor'', a scris un consilier local din Huedin, pe Facebook.
Cluj-Oradea


Oradea-Cluj


Cluj-Oradea

Oradea-Cluj

1 Comentariu