Medicina militară, noul trend: Cu ce medii s-a intrat la admitere 2025 la Medicină Militară la UMF Cluj și UMFST Târgu-Mureș. La Cluj a fost premieră
Medicina Militară, tot mai căutată: Rezultatele admiterii 2025 la Cluj și Târgu Mureș. La UMFST Târgu Mureș, prima medie a fost 9,19
Medicina Militară câștigă teren între preferințele absolvenților de liceu care vor să combine pregătirea medicală cu cariera militară. În această sesiune de admitere, două mari centre universitare au scos locuri la concurs pentru viitorii medici militari: Universitatea de Medicină și Farmacie „Iuliu Hațieganu” din Cluj-Napoca și Universitatea de Medicină, Farmacie, Științe și Tehnologie „George Emil Palade” din Târgu Mureș (UMFST).
La UMF Cluj-Napoca, programul a fost lansat în premieră, având 10 locuri disponibile. Cea mai mare medie de admitere a fost 8,61, iar cea mai mică 5.19.
La concurs s-au înscris 7 candidați, iar cea mai mare medie de admitere a fost 8,61. Examenul a constat într-o probă scrisă, în sistem grilă, cu durata de două ore, desfășurată în spații special amenajate în Cluj-Napoca.
Medicina Militară se adresează absolvenților de liceu care vor să îmbine pregătirea medicală cu formarea profesională specifică sistemului de apărare. La nivel național, este un domeniu cu un grad ridicat de responsabilitate, iar lansarea acestei secții la UMF Cluj reprezintă un pas important în diversificarea programelor de studiu dedicate sănătății publice și securității naționale.
Rezultatele finale ale concursului de admitere vor fi afișate în data de 15 iulie, după soluționarea contestațiilor. Candidații declarați admiși vor avea perioada 21 iulie – 1 august pentru confirmarea locului.

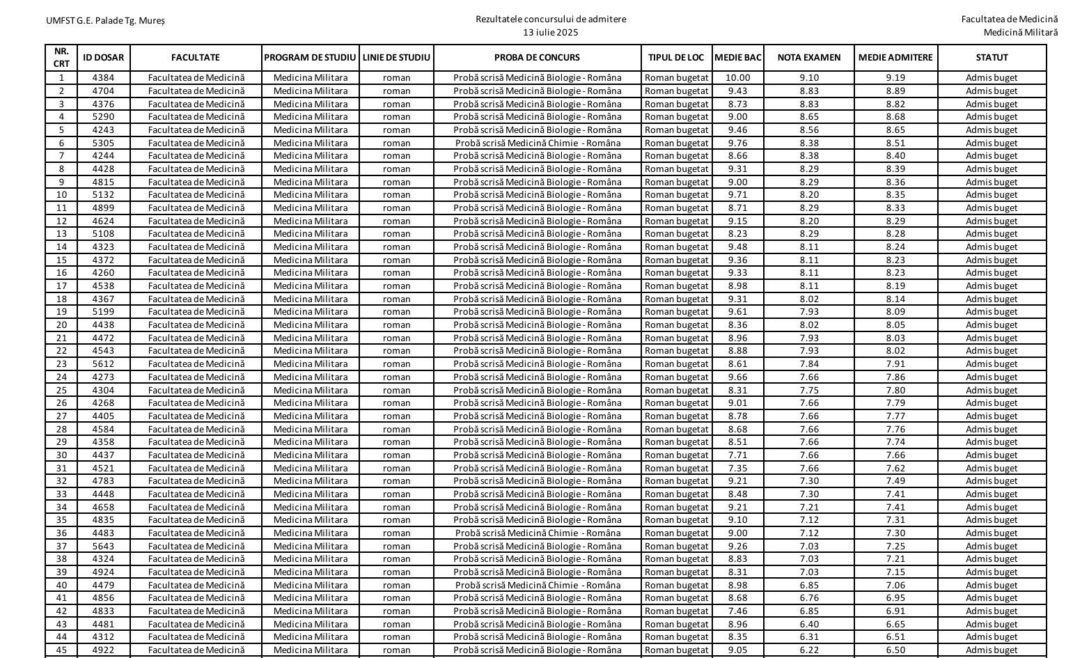
La UMFST Târgu Mureș, unde medicina militară este o secție cu tradiție, interesul a fost mult mai ridicat: 75 de candidați au susținut examenul pentru specializarea Medicină Militară. Prima medie de intrare a fost 9,19, obținută de un candidat care a avut media 10 la bacalaureat și nota 8,19 la examenul scris.
Examenul a constat într-o probă scrisă tip grilă la biologie, susținută în 13 iulie. Din cei 75 de candidați, 30 au fost declarați admiși pe locurile bugetate, alții au fost admiși pe locuri cu taxă sau respinși din cauza notelor sub pragul minim. Cea mai mică medie de admitere pe locurile bugetate a fost 6,50.

Rectoratele celor două universități au felicitat candidații pentru efort și perseverență, subliniind importanța formării medicilor militari ca parte a strategiei naționale de sănătate și apărare.
Rezultatele finale, după soluționarea contestațiilor, urmează să fie afișate în zilele următoare, iar candidații admiși trebuie să confirme locul în perioada stabilită de fiecare instituție.
4 Comentarii