Cum se va merge la școală la Cluj: S-au anunțat scenariile pentru toate școlile, liceele și grădinițele din județ
Comitetul Județean pentru Situații de Urgență Cluj a stabilit, în urma unei ședinte desfășurate joi, 10 septembrie, programul conform căruia vor merge la școală elevii din tot județul.
Astfel, elevii vor participa la cursuri conform unuia dintre următoarele 3 scenarii:
SCENARIUL 1
Participarea zilnică a tuturor preşcolarilor şi elevilor în unităţile de învăţământ, cu respectarea şi aplicarea tuturor normelor de protecţie
SCENARIUL 2
Participarea zilnică a tuturor preşcolarilor şi elevilor din învăţământul primar, a elevilor din clasele a VIII-a şi a XII-a, cu respectarea şi aplicarea tuturor normelor de protecţie și
Revenirea parţială (prin rotaţie de 1-2 săptămâni) a elevilor din celelalte clase de gimnaziu şi liceu, cu respectarea şi aplicarea tuturor normelor de protecţie
SCENARIUL 3
Participarea tuturor preşcolarilor şi elevilor la activităţi/lecţii online
În cazul Colegiul Național "Emil Racoviță", elevii vor merge la cursuri conform Scenariului 2, într-un singur schimb. Un număr de 20 de clase vor face parțial cursuri online, iar cei care vor merge fizic la ore, vor avea orarul decalat.
La Colegiul Național "Gheorghe Șincai" se va merge tot conform Scenariului 2, dar în două schimburi, avâd orarul decalat. De asemena, 12 clase vor face parțial ore online.
La Liceul Teoretic "Avram Iancu" se va merge la școală într-un singur schimb, conform Scenariului 2, dar elevii nu vor avea orarul decalat, iar 23 de clase vor face parțial ore online.
Elevii de la Colegiul Național "George Coșbuc" vor merge la școală într-un singur schimb, conform Scenariului 2, având orarul decalat, iar 28 de clase vor susține parțial ore online. Elevii Liceului de Informatică ”Tiberiu Popoviciu” vor face cursurile în două schimburi, conform Scenariului 2, cu orar decalat, iar 24 de clase vor face parțial ore online.
Elevii de la Școala Gimnazială ”Ioan Bob” Cluj merg la școală în două schimburi, unitatea fiind încadrată în scenariul doi. Școala a amenajat săli de predare și în alte spații decât clasele de până acum. 12 clase vor face școală online, iar orarul de începere a orelor va fi decalat.
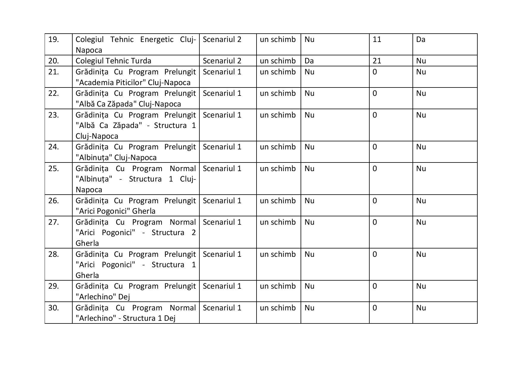
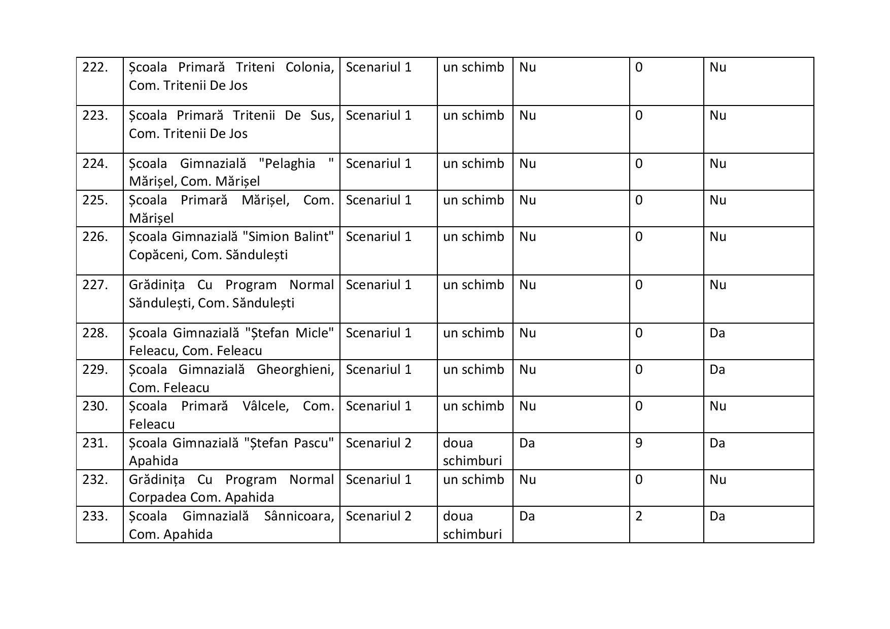
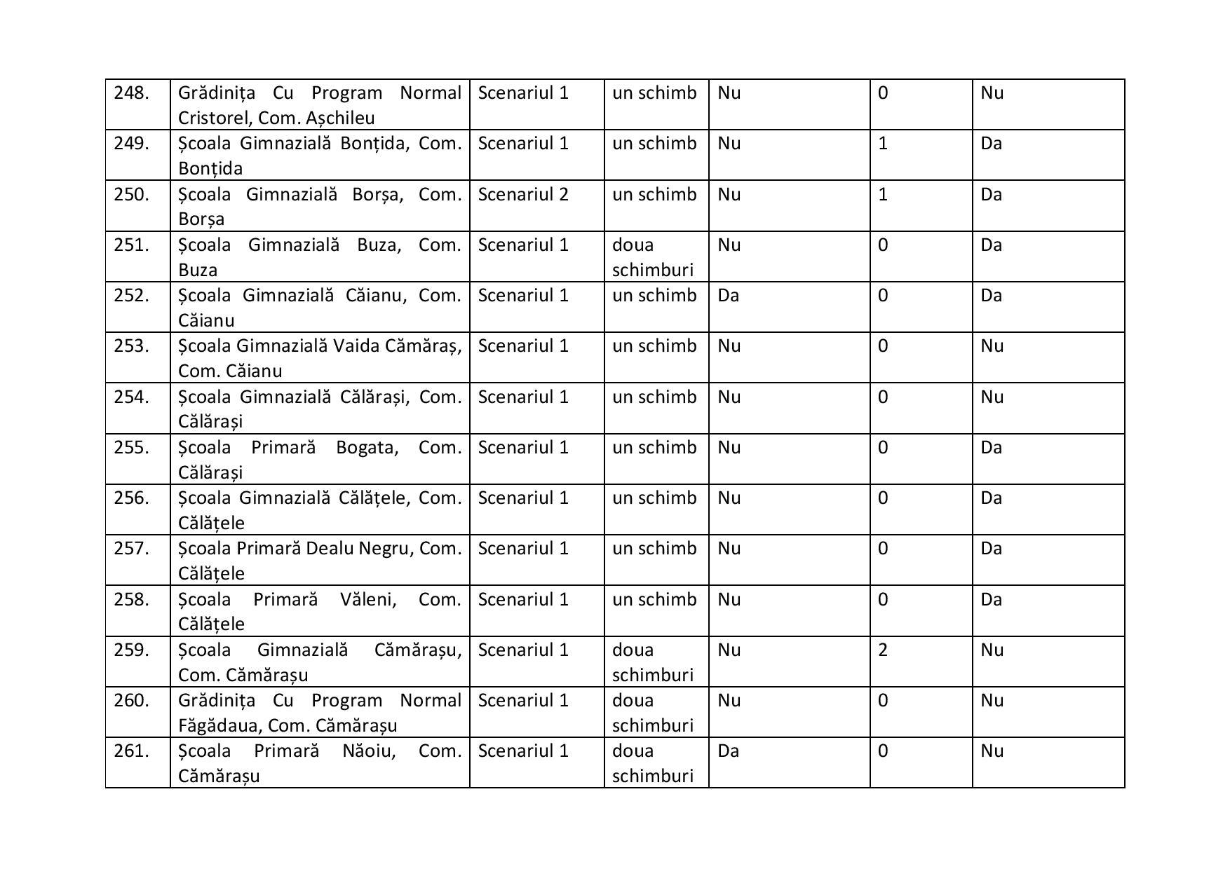
Iată care sunt condițiile în care se va merge la școală în fiecare unitate de învățământ preșcolar din județ:



































6 Comentarii