Clujul are cele mai multe medii de 10 la admiterea la liceu. Procentual, la fel ca anul trecut. La București și în țară, însă, scăderea este dramatică
Se pare ca ultimul an de pandemie nu a afectat rezultatele copiilor exceptionali din judetul Cluj, intrucat din punct de vedere al mediilor generale de admitere de zece, situatia este aproape neschimbata. In acest an, la admiterea la liceu, 12 copii vor intra cu media generala 10, cei mai multi din tara. Urmeaza apoi Bucurestiul, cu 8 copii cu media generala 10. Dambovita are 6 medii de 10, Olt 5 , Iasi, Timis si Dolj au cate 4 medii de 10, Vrancea 3, iar Constanta 2 elevi care intra la liceu cu media 10.
Clujul are cele mai multe medii de 10 la admiterea la liceu
La Cluj situatia este aproape identica cu cea de anul trecut, cand 17 elevi au obtinut media generala 10. Desi numarul efectiv de medii de 10 a fost mai mare anul trecut, aceasta diferenta apare ca urmare a faptului ca au fost cu aproximativ 1000 de elevi mai multi care au intrat la liceu. In timp ce anul trecut au sustinut evaluarea nationala 4883 de elevi, anul acesta numarul elevilor care au sustinut acest examen la Cluj a fost de 3832.
Prin urmare, situatia la Cluj este:
-anul 2020- 4883 elevi- 17 medii de admitere 10 (adica 0.34%)
-anul 2021- 3832 elevi- 12 medii de admitere 10 (adica 0.31%)
Dâmbovița s-a clasat pe locul 2
În țară, o situatie asemanatoare s-a mai inregistrat doar in judetul Dambovita, unde procentul mediilor generale de admitere de 10 la liceu a inregistrat chiar o usoara crestere. Este, de altfel, singurul judet unde s-a intamplat acest lucru.
-anul 2020- 3896 elevi- 7 medii de admitere 10 (adica 0.17%)
-anul 2021- 2984 elevi- 6 medii de admitere 10 (adica 0.2%)
Scădere drastică a numărului de medii de 10 la nivel național
La nivel national, insa situatia sta cu totul diferit. Mediile de admitere de 10 au scazut atat ca numar efectiv, dar si ca procent. Procentul mediilor de admitere de 10 a scazut de la 0.22% in anul 2020, la 0.06% in anul 2021.
Astfel, la nivel national:
- anul 2020 - 158.760 elevi- 363 de medii de admitere 10 (0.22%)
-anul 2021- 119.186 elevi- 82 de medii de admitere de 10 (0.06%)
București, cea mai dramatică scădere
Cea mai dramatica scadere a inregistrat-o municipiul Bucuresti, unde numarul mediilor generale de admitere la liceu de 10 a scazut de la 77 la 8.
La nivelul Bucurestiului, situatia a evoluat astfel:
- anul 2020 -15.285 de elevi- 77 medii de admitere de 10 (0.5%- un procent nefiresc de mare care nu s-a mai regasit nicaieri in tara)
- anul 2021- 11.812 elevi- 8 medii de admitere de 10 (0.06%)
O scadere mare s-a inregistrat de asemenea in judetul Arges, unde situatia se prezinta astfel:
- anul 2020 - 5086 elevi- 22 de medii de 10 (0.43%)
- anul 2021 - 3985 elevi - 3 medii de 10 (0.07%)
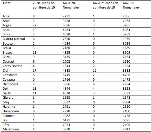
Evoluția mediilor de 10 din fiecare județ al țării
Iata cum au evoluat mediile de admitere de 10 in toate judetele tarii, in anul 2021 fata de 2020:


0 Comentarii