Descarcă - Modele declarații pe proprie răspundere pentru a ieși din casă
AICI poți descărca modele declarații pe proprie răspundere pentru a ieși din casă.
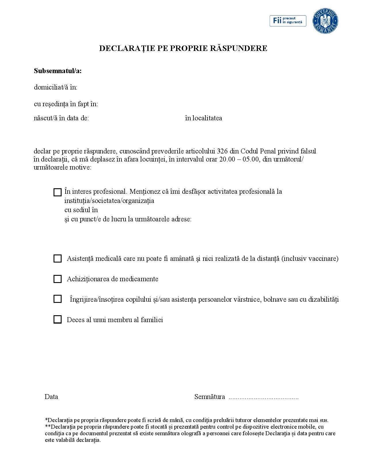
Modelul declarației pe propria răspundere și al adeverinței de la angajator pentru toate localitățile, indiferent de rata de incidență (nivelul de răspândire a virusului). Descarcă și de AICI. Pot fi salvate și modelele de mai jos!


Modelul declarației pe propria răspundere și al adeverinței de la angajator pentru localitățile care depășesc rata de incidență de 4 ‰ (necesar a fi folosite pentru zilele de vineri, sâmbătă și duminică), respectiv 7,5 ‰ (necesar a fi folosite în toate zilele săptămânii)


Nota: Știri de Cluj a folosit inițial o fotografie de la site-ul betanovacluj.ro, dar aceasta a fost schimbata.
11 Comentarii